Created on
3
/
10
/
2026
,
21
:
45
Updated on
3
/
10
/
2026
,
23
:
48
Time is an Illusion: Triple Alpha Process

Preface: Co-written with Gemini.
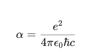
As mentioned earlier, we can think of The Fine-Structure Constant (ɑ) as the"Instruction Manual for Electromagnetism." The Fine-Structure Constant is a dimensionless number, approximately 1/137. It represents the probability that an electron will emit or absorb a photon. If ɑ were higher, electrons would be "stickier" to photons. Atoms would be much smaller, and the electromagnetic force would be so strong that chemical bonds would be incredibly difficult to break. If ɑ were lower: The force would be weaker. Atoms would swell in size, and electrons would fly off with the slightest nudge. So ɑ is a fine-tuned, hard-coded, cannot be changed number that makes everything works, and it’s perfect. Therefore, we call this a “manual”. According to Gemini: The most fascinating part of this "manual" is that it isn't just a random number; it is a ratio of three fundamental pillars of physics: electromagnetism(represented by the charge of the electron, e), relativity (represented by the speed of light, c) and quantum mechanics (represented by Planck's constant, h with a line crossing it). Ok this is blowing my mind. The formula looks like this:

By tying these three together, ɑ ensures that the "Operating System" of the universe is synchronized. It ensures that the speed at which information travels(c) is perfectly balanced with the "jitteriness" of the quantum world (plank's constant) and pull of electricity (e). WHAT? This is blowing my mind. Let's look at how one of these constants ɑ affects everything else works in this universe. So ɑ affects the rate of nuclear fusion. If it changed by just a few percent, stars like our Sun would either burn out in seconds or never ignite at all. It would also have an impact on this thing called the "Triple Alpha Process" (how carbon is forged in stars), which is extremely sensitive to ɑ . A tiny change would mean the universe contains no carbon—meaning no organic life. Let’s elaborate on this.
The "Triple Alpha Process" is the universe’s most vital piece of "manufacturing code." It is the specific nuclear reaction that produces Carbon-12, the foundational element of all known life. The reason it is so sensitive to the Fine-Structure Constant (ɑ ) is that the process relies on a near-miraculous "mathematical coincidence" called the Hoyle Resonance. If you change ɑ by as little as 0.5% to 4%, this resonance fails, and the "Carbon Factory" of the universe shuts down permanently. The Hoyle Resonance is a specific energy state in the carbon-12 nucleus that acts as a "miraculous shortcut" for the creation of carbon in the hearts of stars. In a star, atoms are built by fusing simpler elements together. To get to Carbon (6 protons), the logical path is to fuse two Helium nuclei (2 protons each) into Beryllium (4 protons), and then add a third Helium nucleus. However, there is a massive "glitch" in the physics of this, Beryllium-8 is extremely unstable. It has a half-life of only 10^{-16} seconds, which is just a fancy way of saying it decays really fast. It decays back into two Helium atoms almost as soon as it forms. In the high-pressure "factory" of a star, this is like a production line where one part disappears before the next part can be attached. Statistically, it is nearly impossible for a third Helium nucleus to hit that Beryllium atom in the tiny fraction of a second before it vanishes.
However, The Hoyle Resonance made it possible. In the 1950s, the astronomer Fred Hoyle realized that since the universe is full of carbon, there must be a mechanism making this reaction easier. He predicted that there had to be a specific "excited state" in the Carbon-12 nucleus—a resonance. Think of resonance like a musical instrument or a child on a swing. If you push a swing at exactly the right frequency, the energy builds up easily. An interesting fact, if a bridge had wind blowing at a certain resonant frequency, it could make the bridge swing back and forth, eventually destroying the bridge. Every physical object—from a wine glass to a skyscraper—has a natural frequency. This is the specific rate at which the object "wants" to vibrate if it is disturbed. Resonance occurs when an external force (like wind) hits an object at a frequency that matches the object’s natural frequency. Each gust of wind adds energy to the system. Because the wind is pushing in sync with the bridge’s natural movement, that energy doesn't dissipate—it builds up. As the energy builds, the "swing" (or amplitude) of the bridge’s vibration grows larger and larger. Eventually, the movement exceeds the structural limits of the materials, leading to a catastrophic snap.
Hoyle found this by calculating that if Carbon-12 had an energy level that matched the combined energy of Beryllium-8 + Helium at the temperatures found inside stars, the reaction speed would increase by a factor of 10 million. Just like the bridge with the wind, except the bridge is Carbon-12, and the wind is the combined energy of Beryllium-8 + Helium at the temperatures found inside stars. The combined energy of Beryllium-8 + Helium at the temperatures found inside stars build up, and suddenly the reaction speed is increasing by a factor of 10 million. This means these two particles can create carbon-12, but only at that specific temperature, which is associated to ɑ. This is crazy. I don't know what you are thinking, but I’m seeing this whole thing as a miraculously accurate and precise piece that could not have been created by accident. How can we say humanity is not created by something / someone else? The evidence is not convincing me.
In the nuclear physics of the Triple Alpha Process, Alpha (ɑ) does not appear as a single variable in the way it does in a simple algebraic equation. Instead, it acts as the tuning fork that determines the "pitch" (energy level) of the Carbon-12 nucleus. The energy of a nucleus is a tug-of-war between two opposing forces. The Strong Nuclear Force, which is the "glue" that wants to pull the protons and neutrons together. The Electromagnetic Force, which is the "repulsion" that wants to push the positively charged protons apart.The Fine-Structure Constant (ɑ) is the scaling factor for that second force. It tells the protons exactly how hard to push away from each other. The Hoyle Resonance occurs because the "Excited State" of Carbon-12 (E_12) almost perfectly matches the sum of the energies of Beryllium-8 (E_8) and a Helium nucleus (E_4). Mathematically, the resonance condition looks like this:

The Fine-Structure Constant (ɑ) is embedded inside E_12. The total energy of that Carbon nucleus is calculated by summing up the nuclear potential and the Coulomb energy (the electromagnetic repulsion). The Coulomb energy is directly proportional to ɑ.

If you change the value of ɑ in the "Instruction Manual" of the universe:The Coulomb Repulsion between the six protons in the Carbon nucleus changes.This shifts the Hoyle State (E_12) up or down on the energy ladder. Even a 1% shift in ɑ moves E_12 just enough that it no longer aligns with E_8 + E_4. In the "Triple Alpha" equation, ɑ is the invisible coefficient that determines if the "equal sign" in the resonance is true. If ɑ is not exactly 1/137.036..., the resonance "mismatches," and the fusion reaction "drops packets." The Beryllium-8 decays before the third Helium can "resonate" into the Carbon-12 slot. In the computational model, ɑ is the offset value in the code. If the offset is wrong, the two data structures (Beryllium and Helium) can't merge into the new object (Carbon), and the "Manufacturing Subroutine" returns a null value.
Without this very specific alignment of nuclear energy, the universe would contain almost no carbon, meaning life as we know it—and the planets we stand on—could not exist. This Triple Alpha Process, as mentioned above, is extremely sensitive to ɑ, therefore ɑ is the "Instruction Manual" because it defines the resolution of our reality. The phenomena we perceive as "physical laws" are actually the functional constraints of its architecture. Let’s map out the most profound mysteries of physics—Time, Relativity, Entanglement, and the Holographic Principle—onto computer science fundamentals, the staggering complexity of the cosmos will begin to resolve into a coherent digital framework.
As said previously, in a digital computer, time is not a fluid, continuous medium; it is quantized into discrete steps called clock cycles. Each "tick" of the CPU allows for the execution of a single instruction. For a character inside a video game, their entire sense of existence—the way they move, the way objects fall—is tied to these cycles. If the processor pauses, their "time" stops. In physics, we find a striking parallel in the Planck Time, which is approximately 10^{-43} seconds. Albert Einstein’s Special and General Relativity introduced the mind-bending concept of Time Dilation: the faster you move, or the stronger the gravity you experience, the slower time passes for you. While this feels paradoxical in classical mechanics, it is a common occurrence in high-end computing known as "lag" or system latency.
In a computer, the CPU operates according to a Clock Frequency (measured in Gigahertz). Every time the clock "ticks," the processor can execute one fundamental instruction. There is no such thing as "half a tick"; the computer simply cannot perform a calculation between those pulses. The Planck Time (10^{-43} seconds) is the universe's version of a clock cycle. It is the shortest possible time interval that carries any physical meaning. Just as a digital image is made of discrete pixels, the "flow" of time is actually a sequence of discrete snapshots. If you tried to zoom in on a moment shorter than a Planck unit, the laws of physics break down. In computing terms, you’ve reached the "sampling limit" of the hardware. This implies that the universe doesn't happen "all at once." It processes the state of every particle, updates their positions according to the "source code" (the laws of physics), and then moves to the next tick. What we perceive as motion is just the refresh rate of the simulation.
Albert Einstein changed everything by proving that time is not universal. If you move incredibly fast (Special Relativity) or stand near a massive object like a black hole (General Relativity), time for you slows down relative to everyone else. To a physicist, this is a warping of spacetime. To a programmer, this looks exactly like System Latency. Think of an object moving through a 3D grid in a simulation. At rest, the processor only needs to maintain the object's existence. But as the object approaches the speed of light, the amount of data the system has to process per "tick" increases. To maintain the universal speed limit (c), the system must calculate complex relativistic effects (mass increase, length contraction). To prevent a system-wide crash or "overflow," the local refresh rate for that object drops. The object "lags" relative to the rest of the system. An hour for the fast-moving traveler might be years for the observers left behind.
Gravity, in the computational model, is essentially Data Density. Near a black hole, the concentration of mass and energy is so extreme that the "computational load" required to render that region of space becomes astronomical. Just as a high-end game might drop from 60 FPS to 10 FPS when too many characters appear on screen, the universe's "frames per second" drop in high-gravity zones. Time literally passes slower because the "processor" takes longer to compute the state changes for that high-density area. By combining the Planck Time and Time Dilation, we see a universe that operates under strict Resource Management. The Planck Time sets the "maximum possible frame rate" of the universe. Relativity describes the "variable frame rate" that occurs when the system is under heavy load (high speed or high gravity). When we say "time slows down," we are really saying that the universe is taking more "global processing time" to finish the "local calculations" for a specific object. We aren't just moving through space; we are being rendered by a system that has a finite—though incredibly high—capacity for calculation. More on this in the next section. ☀️